CSCI 1312 (Introduction to Programming for Engineering), Fall 2016:
Homework 5

Credit:
40 points.

Reading

Be sure you have read (or at least skimmed) the assigned readings from chapter 6.

Honor Code Statement

Please include with each part of the assignment the Honor Code pledge or just the word ``pledged'', plus one or more of the following about collaboration and help (as many as apply).1Text in italics is explanatory or something for you to fill in. For written assignments, it should go right after your name and the assignment number; for programming assignments, it should go in comments at the start of your program.

Programming Problems

Do the following programming problems. You will end up with at least one code file per problem. Submit your program source (and any other needed files) by sending mail to bmassing@cs.trinity.edu with each file as an attachment. Please use a subject line that mentions the course and the assignment (e.g., ``csci 1312 hw 5'' or ``CS1 hw 5''). You can develop your programs on any system that provides the needed functionality, but I will test them on one of the department's Linux machines, so you should probably make sure they work in that environment before turning them in.

  1. (20 points) NOTE that the point of this problem is for you to practice using for loops, so you must use at least one to get full credit, and I strongly recommend that you do all the needed repetition using for.

    Write a C program that gets a positive integer $ N$ from the user and prints an $ N+2$ by $ 2N+4$ pattern of stars and spaces like the following:

    For $ N=4$ :


    ************
    **  ********
    ****  ******
    ******  ****
    ********  **
    ************
    

    For $ N=7$ :


    ******************
    **  **************
    ****  ************
    ******  **********
    ********  ********
    **********  ******
    ************  ****
    **************  **
    ******************
    

    Print an error message if what was entered is not a positive integer.

    You might find it useful to split your program into several functions, as a way of keeping the main program from being too complicated, and also as a way of not writing similar code over and over. Functions you might find useful in addition to the main one:

  2. (20 points) NOTE that the point of this problem is for you to practice using while loops, so you must use at least one to get full credit, and I strongly recommend that you do all the needed repetition using while.

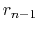
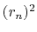
    Newton's method for computing the square root of a non-negative number $ x$ starts with an initial guess $ r_0$ and then repeatedly refines it using the formula

    $\displaystyle r_n = (r_{n-1} + (x / r_{n-1})) / 2
$

    Repetition continues until the absolute value of $ (r_n)^2$ - $ x$ is less than some specified threshold value. An easy if not necessarily optimal initial guess is just $ x$ .

    Write a C program that implements this algorithm and compares its results to those obtained with the library function sqrt(). Have the program prompt for $ x$ , the threshold value, and a maximum number of iterations; do the above-described computation; and print the result, the actual number of iterations, and the square root of $ x$ as computed using library function sqrt(). Also have the program print an error message if the input is invalid (non-numeric or negative).

    Here are some sample executions:

    [bmassing@dias04]$ ./a.out 
    enter values for input, threshold, maximum iterations
    2 .0001 10
    square root of 2:
    with newton's method (threshold 0.0001):  1.41422 (3 iterations)
    using library function:  1.41421
    difference:  2.1239e-06
    
    [bmassing@dias04]$ ./a.out 
    enter values for input, threshold, maximum iterations
    2 .000001 10
    square root of 2:
    with newton's method (threshold 1e-06):  1.41421 (4 iterations)
    using library function:  1.41421
    difference:  1.59472e-12
    

    Hints:



Footnotes

... apply).1
Credit where credit is due: I based the wording of this list on a posting to a SIGCSE mailing list. SIGCSE is the ACM's Special Interest Group on CS Education.


Berna Massingill
2016-10-31